Perkiraan Umur Bangunan dengan Uji Karbonasi
Sebelumnya perlu diketahui bahwa waktu yang dibutuhkan untuk karbonasi bisa diperkirakan dari mutu beton dengan menggunakan persamaan berikut:
dimana:
t = waktu proses karbonasi hingga mencapai tulangan beton
d = selimut beton
k = permeabilitas
Hubungan antara mutu beton dengan permeabilitas adalah seperti diberikan pada table berikut:
![]() |
| Sumber: Guidebook on non-destructive testing of concrete structures, International Atomic Energy Agency, Vienna, 2002 |
Perlunya uji tingkat karbonasi adalah untuk mengetahui apakah selimut beton masih melindungi tulangan baja di dalamnya. Proses karbonasi menetralisir kondisi basa dalam beton. Jika selimut beton seluruhnya telah terkarbonasi mencapai tulangan baja di dalamnya, maka baja tulangan di dalamnya akan segera terkorosi ketika udara lembab dan oksigen mencapai tulangan.
Alat dan bahan yang digunakan dalam uji karbonasi sangat sederhana, yaitu:
- Semprotan (spray) angin
- Semprotan (spray) yang diisi 1% phenolthaelin (1 gm phenolthaelin dicampur dengan 90 cc ethanol dan tambahkan air bersih hingga mencapai 100 cc)
Cara kerja uji karbonasi adalah dengan membuat lubang kecil pada beton sampai dengan perkiraan ketebalan selimut beton. Bersihkan lubang dengan semprotan angin dari debu dan kotoran lainnya, kemudian semprotkan cairan 1% phenolthaelin ke dalam lubang tersebut. Bagian beton yang masih dalam kondisi baik (masih bersifat basa) akan berwarna pink/ ungu, sedangkan bagian yang sudah terkarbonasi, PH nya sudah menjadi 7 (netral) atau bahkan kurang dari 7 (asam) tidak akan berubah warna. Selanjutnya ukur ketebalan lapisan yang terkarbonasi dari permukaan beton sampai dengan lokasi yang berubah warna.
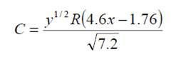
Dari kedalaman karbonasi, dapat diketahui umur bangunan dengan menggunakan rumus sebagai berikut:
dimana:
x=W/C atau rasio air/semen dapat diambil secara empirik dari mutu beton, dimana mutu beton dapat diketahui dengan uji NDT atau DT (misalnya: Hammer Test, UPVT ataupun core drill dan uji tekan).
C = kedalaman karbonasi
R = konstanta yang tergantung dari a (konstanta yang tergantung lingkungan beton) dan b (finishing beton/ coating beton).
a = 1.7 untuk beton dalam ruangan dan a = 1.0 untuk beton yang berada di outdoor (diambil dari angka yang dikeluarkan oleh: The Japanese Ministry Construction Publications “Engineering for improving the durability of reinforced concrete structure)
Sedangkan b dapat diambil dari table berikut:
![]() |
| Sumber: Guidebook on non-destructive testing of concrete structures, International Atomic Energy Agency, Vienna, 2002 |
Sehingga lebih jauh dari kedalaman karbonasi yang diketahui, maka dapat diperkirakan pula sisa umur bangunan. Karena ketika proses karbonasi sudah mencapai tulangan, selanjutnya baja diperkirakan akan mengalami korosi, dari hasil analisis struktur akan diketahui sampai tingkat korosi berapa %, struktur beton masih mampu menahan beban yang bekerja. Selanjutnya dari perhitungan laju korosi baja dan hasil analisis struktur akan bisa diperkirakan kapan bangunan ini akan mengalami kegagalan. Dengan diketahuinya hal-hal tersebut tentunya mempermudah pengguna bangunan untuk menentukan sampai kapan bangunannya difungsikan atau kapan akan dilakukan perkuatan/ perbaikan.
Beberapa hasil uji karbonasi di beberapa struktur beton seperti gambar berikut:
Sumber: http://hesa.co.id/blog-hesa/128-perkiraan-umur-bangunan-dengan-uji-karbonasi-carbonation-test.html








Komentar
Posting Komentar